设计 任务书 文档 开题 答辩 说明书 格式 模板 外文 翻译 范文 资料 作品 文献 课程 实习 指导 调研 下载 网络教育 计算机 网站 网页 小程序 商城 购物 订餐 电影 安卓 Android Html Html5 SSM SSH Python 爬虫 大数据 管理系统 图书 校园网 考试 选题 网络安全 推荐系统 机械 模具 夹具 自动化 数控 车床 汽车 故障 诊断 电机 建模 机械手 去壳机 千斤顶 变速器 减速器 图纸 电气 变电站 电子 Stm32 单片机 物联网 监控 密码锁 Plc 组态 控制 智能 Matlab 土木 建筑 结构 框架 教学楼 住宅楼 造价 施工 办公楼 给水 排水 桥梁 刚构桥 水利 重力坝 水库 采矿 环境 化工 固废 工厂 视觉传达 室内设计 产品设计 电子商务 物流 盈利 案例 分析 评估 报告 营销 报销 会计
 首 页 机械毕业设计 电子电气毕业设计 计算机毕业设计 土木工程毕业设计 视觉传达毕业设计 理工论文 文科论文 毕设资料 帮助中心 设计流程 
垫片
您现在所在的位置:首页 >>毕设资料 >> 文章内容
                 
垫片
   我们提供全套毕业设计和毕业论文服务,联系微信号:biyezuopinvvp QQ:1015083682   
基于SSM的高校大学生就业平台的设计与实现 开题报告
文章来源:www.biyezuopin.vip   发布者:毕业作品网站  

毕业论文(设计)开题报告

题目

基于SSM的高校大学生就业平台的设计与实现

题目类别

毕业设计

姓名

专业

计算机科学与技术

班级

计科

学号

一、选题背景及依据(简述国内外研究状况和相关领域中已有的研究成果(文献综述),选题目的、意义,列出主要参考文献)

(一)选题背景与依据

1. 选题背景

随着高等教育的普及,高校大学生数量逐年增加,就业市场竞争日益激烈。如何有效地匹配大学生与用人单位,提高就业效率,成为当前高校就业指导工作的重要课题。传统的就业服务平台在信息更新、用户交互、数据处理等方面存在不足,难以满足现代高校就业服务的需求。因此,开发一个高效、便捷、信息丰富的高校大学生就业平台显得尤为重要。基于SSM(Spring + Spring MVC + MyBatis)框架的高校大学生就业平台,能够整合就业信息,提供个性化的就业服务,从而提升高校就业指导工作的质量和效率。宋蕙帆(2024)对基于SSM的精准就业服务平台的设计与实现进行了研究,表明此类平台在提升就业服务精准度方面具有潜力[1]。

2. 选题依据

本选题依据主要来源于现有相关研究成果和实践需求。一方面,国内外学者在就业服务平台的设计与实现方面已经取得了一定的成果,如杨霞(2023)基于SSM + VUE架构的校企融合教学应用研究,为就业平台的设计提供了技术参考[2];黄广博等(2024)设计的考前餐饮服务系统虽领域不同,但在系统设计的方法和思路上具有借鉴意义[3]。另一方面,高校就业指导工作对信息化平台的需求迫切,现有平台在功能和服务上存在提升空间。王建国等(2024)、高俊杰等(2024)等对基于SSM框架的不同类型管理系统的研究,为高校大学生就业平台的技术实现提供了基础[4][5]。

(二)国内外研究现状

1. 国内研究现状

在国内,基于 SSM 框架的系统设计与实现研究呈现出蓬勃发展的态势,涵盖多个领域,为高校大学生就业平台的设计与开发提供了丰富的经验借鉴。

在管理系统开发方面,李昊聪等(2024)设计的安全生产费用审核管理系统,深入运用 SSM 框架,实现了对安全生产费用审核流程的精细化管理。该系统通过 Spring 的依赖注入和面向切面编程,有效降低了系统组件之间的耦合度,提高了系统的可维护性;利用 SpringMVC 的请求处理机制,实现了用户请求的高效分发和处理;借助 MyBatis 的 ORM 功能,简化了数据库操作,提升了数据访问效率。这一研究成果展示了 SSM 框架在复杂业务流程管理系统中的强大应用能力[6]。

刘虹延等(2023)对基于 SSM 框架的实验室耗材管理系统设计的研究,体现了 SSM 框架在不同领域的广泛适用性。该系统针对实验室耗材管理的特点,通过合理的架构设计,实现了耗材信息的精准管理、库存的实时监控以及采购流程的优化。在技术实现上,充分发挥了 SSM 框架的优势,确保了系统的稳定性和可靠性[7]。

潘琦等(2024)设计的基于 SSM 的智慧旅游系统,结合了旅游行业的需求特点,利用 SSM 框架实现了旅游信息的整合与展示、旅游产品的预订与管理等功能。通过前端页面的精心设计和后端业务的逻辑处理,为用户提供了便捷、高效的旅游服务体验,进一步拓展了 SSM 框架在服务行业的应用范围[8-11]。朴丽莎和陈平星(2024)设计的学生作业管理系统,则聚焦于教育领域,利用 SSM 框架实现了作业的布置、提交、批改等全流程管理,提高了教学管理的效率[12]。

在就业服务相关领域,宋蕙帆(2024)对精准就业服务平台的研究为高校大学生就业平台的设计提供了直接参考。该平台通过大数据分析和智能匹配算法,实现了就业信息与求职者需求的精准对接。在技术层面,运用 SSM 框架构建系统的底层架构,保证了系统的性能和扩展性。同时,注重用户体验,设计了简洁易用的界面,为高校大学生就业平台在功能设计和用户体验方面提供了有益的借鉴[13]。

此外,王云亮和胡琳(2024)对基于 SSM 框架的高职学生岗位实习过程管理系统的研究,为就业平台中的实习管理功能提供了思路。该系统实现了对学生实习过程的全程跟踪和管理,包括实习计划的制定、实习进度的监控、实习报告的提交与批改等功能。刘玮玮(2024)对图书借阅管理系统的研究,则在信息管理、用户权限控制等方面为就业平台提供了参考,其利用 SSM 框架实现的数据库操作和业务逻辑处理,具有较高的可借鉴性[14][15]。

然而,国内研究也存在一定的不足。部分研究侧重于系统的功能实现,对系统的性能优化、安全性保障等方面的研究相对较少。同时,在就业服务领域,针对高校大学生就业平台的专业化、个性化研究还有待加强。

2. 国外研究现状

国外在相关领域的研究主要集中在系统的设计与实现方法以及应用效果评估等方面,为高校大学生就业平台的研究提供了不同的视角和方法。

Liu M(2024)设计的基于 SSM 架构的个性化新闻系统,展示了 SSM 框架在信息推送系统中的成功应用。该系统通过分析用户的浏览历史、兴趣偏好等信息,利用智能算法实现个性化的新闻推荐。在技术实现上,充分发挥了 SSM 框架的优势,实现了前后端的高效交互和数据的快速处理。这一研究成果为高校大学生就业平台中的信息推荐功能提供了技术参考[16-17]。

Yoshany N 等(2025)对医学实习项目进行的综合评估研究,虽然领域与高校大学生就业不同,但在项目设计和评估方法上具有借鉴意义。该研究采用了多种评估方法,包括问卷调查、实地观察、数据分析等,全面评估了医学实习项目的效果。这种综合评估方法可以为高校大学生就业平台中就业指导服务的效果评估提供参考,帮助平台更好地了解用户需求,优化服务内容[18]。

Gao J 等(2023)对大学生实习跟踪管理系统的设计与实现进行了研究,与高校大学生就业平台在实习管理功能方面有一定的相似性。该系统实现了对学生实习信息的全面管理,包括实习单位信息、实习岗位信息、实习评价等。通过与学校、企业等多方的信息交互,实现了对学生实习过程的全程监控。这一研究成果为高校大学生就业平台中实习管理模块的设计提供了实际案例参考[19]。

Corson C L 等(2025)对证据实践在产房复苏中的应用进行的定性研究,其研究方法对就业平台中就业指导服务的效果评估具有一定的参考价值。该研究通过深入访谈、案例分析等方法,收集和分析相关数据,得出了具有针对性的结论。这种定性研究方法可以应用于高校大学生就业平台中,深入了解用户对就业指导服务的需求和满意度,为服务的优化提供依据[20]。

但国外研究也存在一些局限性。由于文化背景和教育体系的差异,国外的研究成果在直接应用于国内高校大学生就业平台时可能需要进行一定的调整和优化。同时,国外研究对系统的本地化和个性化需求关注相对较少,而国内高校大学生就业平台需要充分考虑国内高校和学生的实际情况,提供更加贴合需求的服务。

(三)研究目的及其意义

1. 研究目的

本研究旨在设计并实现一个基于SSM框架的高校大学生就业平台,整合就业信息,提供就业指导、岗位推荐、简历投递等功能,提高高校就业服务的质量和效率,促进大学生顺利就业。通过该平台,实现用人单位与大学生的有效对接,提升就业匹配的精准度。

2. 研究意义

(1)理论意义

本研究丰富了基于SSM框架的系统设计与实现理论,特别是在高校就业服务领域的应用。通过对高校大学生就业平台的设计与实现,为相关领域的研究提供了理论参考和实践案例。同时,对平台功能模块的设计和实现方法的研究,有助于进一步完善系统设计理论。

(2)实践意义

在实践方面,基于SSM的高校大学生就业平台能够满足高校就业指导工作的实际需求,提高就业信息的管理效率和利用效率。平台提供的个性化就业服务,能够帮助大学生更好地了解就业市场,提升就业竞争力。同时,平台也为用人单位提供了便捷的人才招聘渠道,促进高校与用人单位的合作,推动大学生就业工作的顺利开展。蒋昌兵(2024)、申宽和刘倩兰(2024)等对基于SSM框架的不同系统的研究,证明了此类系统在实践中的可行性和有效性[13][16],为高校大学生就业平台的实践应用提供了信心。

综上所述,基于SSM的高校大学生就业平台的设计与实现具有重要的研究价值和现实意义。通过本研究,有望为高校就业服务工作提供更加高效、便捷的信息化平台,促进大学生就业质量的提升。

(四)参考文献

[1] 宋蕙帆.基于SSM的精准就业服务平台设计与实现[J].科技创新与应用, 2024(008):014.DOI:10.19981/j.CN23-1581/G3.2024.08.023.

[2] 杨霞.基于SSM+VUE架构的校企融合教学的应用研究[J].深圳青年, 2023(5).

[3] 黄广博,孙东阳,谭媛媛,等.考前餐饮服务系统的设计与实现[J].中外食品工业, 2024(18):91-94.

[4] 王建国,张争,汤来锋,等.基于SSM框架的学生信息管理系统的设计与实现[J].现代信息科技, 2024, 8(7):30-33.

[5] 高俊杰,孙鹏霞,刘义汉,等.基于SSM的网上订餐管理系统[J].软件, 2024, 45(1):168-173.DOI:10.3969/j.issn.1003-6970.2024.01.049.

[6] 李昊聪,李喜龙,曹俊鹏,等.基于SSM框架的安全生产费用审核管理系统设计[J].轻工科技, 2024, 40(2):87-90.

[7] 刘虹延,田丰,胥小伟,等.基于SSM框架的实验室耗材管理系统设计[J].中国科技期刊数据库 工业A, 2023(4):4.

[8] 潘琦 李雪竹 王月 何佳莉 王嘉婕.基于SSM的智慧旅游系统的设计[J].  2024.

[9] 周桐,韩明玉,聂金鑫,等.后疫情背景下的智慧社区管理系统设计与实现[J].电子技术与软件工程, 2023(8):223-226.

[10] 李嘉文,张锦文.基于MVC架构的在线学习笔记本设计与实现[J].设计, 2024, 9(5):11.DOI:10.12677/design.2024.95607.

[11] 刘竞一,孙莹.SSM方法分析环形桁架天线系统的混沌与分岔[C]//第十九届全国非线性振动暨第十六届全国非线性动力学和运动稳定性学术会议摘要集.2023.

[12] 朴丽莎  陈平星.基于SSM框架的学生作业管理系统的设计与实现[J].科技资讯, 2024, 22(8):233-237.

[13] 蒋昌兵.基于SSM框架的图片信息管理系统[J].信息系统工程, 2024(6):21-25.

[14] 王云亮,胡琳.基于SSM架结构的高职学生岗位实习过程管理系统设计[J].信息与电脑, 2024, 36(1):251-253.

[15] 刘玮玮.基于SSM框架图书借阅管理系统的研究与实现[J].工业控制计算机, 2024, 37(6):139-141.DOI:10.3969/j.issn.1001-182X.2024.06.053.

[16] 申宽,刘倩兰.基于SSM框架的社区服务系统设计[J].计算机应用文摘, 2024, 40(2):82-84.

[17]  Liu M .Design and Implementation of a Personalized News System Based on SSM Architecture[J].International Journal of Multiphysics, 2024, 18(3).

[18]  Yoshany N , Mahmoodabad S S M , Moradi L ,et al.Beyond traditional training: a comprehensive CIPP evaluation of medical internships: assessing program design, implementation, and clinical competency outcomes[J].BMC Medical Education, 2025, 25(1).DOI:10.1186/s12909-025-07404-3.

[19]  Gao J , Fang G , Liu L .The Design and Implementation of the Tracking Management System for the Post Practice of College Students[J].Advances in Computer and Communication, 2023.DOI:10.26855/acc.2023.02.006.

[20]  Corson C L , Nembhard I M , Bonafide C P ,et al.Acceptance and implementation of evidence-based practices in delivery room resuscitation: A qualitative study[J].SSM - Qualitative Research in Health, 2025, 7.DOI:10.1016/j.ssmqr.2025.100557.

二、主要研究(设计)内容、研究(设计)思想及工作方法或工作流程

1、研究内容

1、研究内容

(1)高校大学生就业平台的需求分析

功能需求分析

学生用户功能需求

信息浏览与搜索:学生进入平台后,可通过导航栏便捷访问各类就业信息板块。在招聘岗位信息区,能查看企业发布的详细岗位信息,包括岗位名称、职责、要求、薪资待遇、工作地点等;在校园招聘会信息区,获取招聘会的时间、地点、参会企业等内容;在就业政策与行业动态区,了解相关解读和最新行业资讯。同时,在搜索栏按照专业、岗位类型、薪资范围、工作地点等条件进行精准搜索,系统根据搜索条件在数据库中筛选匹配信息并展示。

简历管理:学生在个人中心进入简历管理模块,在线创建、编辑和完善个人简历,从多种格式的简历模板中选择适合自己的样式。平台调用简历智能评估算法,根据岗位需求和学生简历内容,分析并给出优化建议。学生完成简历编辑后,在岗位详情页点击投递按钮,即可将简历一键投递至心仪岗位。

面试辅助:学生进入面试辅助模块,在资料库中查阅常见面试问题及答案、面试礼仪、面试注意事项等内容。选择模拟面试功能后,系统启动视频录制,学生完成模拟面试后,系统根据预设的评分标准进行智能评分,并提供改进意见。

交流互动:学生进入论坛和问答社区,在相应板块发布求职经验、面试心得或咨询就业相关问题,其他学生可以进行回复和讨论,促进信息共享和互动交流。

企业用户功能需求

如图1所示:

性能需求分析

响应时间:在正常网络环境下,页面加载时间不超过3秒,搜索功能响应时间不超过2秒,简历投递、面试邀请发送等操作响应时间不超过1秒。

并发处理能力:平台应能够支持至少1000名用户同时在线操作,保证系统的稳定性和响应速度。

数据安全性:对用户信息、招聘信息等敏感数据进行加密存储,防止数据泄露和恶意攻击。定期进行数据备份,确保数据在意外情况下能够及时恢复。

(2)技术路线所涉及的研究内容

总体技术架构

本平台采用基于SSM(Spring + SpringMVC + MyBatis)框架的B/S(浏览器/服务器)架构,其架构图如图2所示:

Spring框架:提供依赖注入和面向切面编程等功能,通过依赖注入简化组件之间的耦合,提高系统的可维护性和可扩展性;面向切面编程用于处理系统的横切关注点,如日志记录、事务管理等。

SpringMVC框架:负责处理Web请求和响应,实现MVC(模型 - 视图 - 控制器)设计模式。控制器接收用户的请求,调用相应的模型进行处理,然后根据处理结果选择合适的视图进行展示。

MyBatis框架:用于数据库的操作,实现对象关系映射(ORM),将Java对象与数据库表进行映射,简化数据库访问代码的编写,提高数据库访问的效率。

前端技术

页面设计:采用HTML5、CSS3和JavaScript技术进行页面设计和开发。通过HTML5定义页面的结构,CSS3负责页面的样式设计,实现美观的布局和视觉效果,JavaScript用于实现页面的交互效果,如按钮点击事件、数据验证等。同时,遵循响应式设计理念,使用媒体查询等技术,确保平台在不同设备(如电脑、平板、手机)上都能有良好的显示效果。

前端框架:引入JSP(这里假设你想说的是Vue.js等类似框架,JSP一般不是前端框架概念,若为笔误,以下以Vue.js为例修改,若确为JSP则按其特性描述)框架,Vue.js是一款轻量级的JavaScript框架,具有数据绑定、组件化开发等特性。通过数据绑定,实现页面数据与后台数据的自动同步;组件化开发将页面拆分成多个可复用的组件,提高前端开发的效率和代码的可维护性。

后端技术

服务器环境:选择Tomcat作为Web服务器,它是一款开源的、免费的Servlet容器,具有稳定性高、性能良好等特点。Tomcat能够解析和执行Servlet和JSP代码,处理用户发送的HTTP请求,并将处理结果返回给用户。

数据库管理:采用MySQL数据库,它是一款关系型数据库管理系统,具有数据存储安全、查询效率高、易于管理等优点。通过MyBatis框架与数据库进行交互,MyBatis将SQL语句与Java代码分离,开发人员可以方便地编写和优化SQL语句,实现数据的增删改查操作。

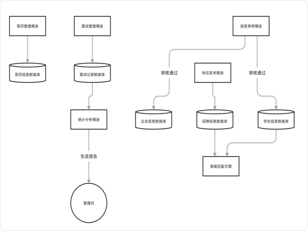
如图3数据流图:

撰写论文提纲:

论文提纲

第1章 绪论

1.1 选题背景

1.2 研究现状

1.3 课题目标

第2章 关键技术及开发工具

2.1 开发工具

2.2 JSP技术

2.3 JavaScript

2.4 B/S结构

2.5 MYSQL数据库

第3章 系统分析

3.1 可行性分析

3.1.1 技术可行性

3.1.2 操作可行性

3.1.3 经济可行性

3.1.4 法律可行性

3.2 系统流程设计

3.2.1 用户注册

3.2.2 用户登录

3.3 系统功能设计

3.3.1 功能概述

3.3.2 系统功能结构

3.4 系统用例图

3.5 系统设计规则

第4章 系统概要设计

4.1 数据库设计

4.1.1 数据库设计原则

4.1.2 数据库概念设计

4.1.3 数据库E-R图设计

4.1.4 数据库表设计

第5章 系统详细设计与实现

5.1 用户功能模块的实现

5.1.1 用户注册界面

5.1.2 用户登录界面

5.1.3 信息修改界面

5.1.4 添加简历界面

5.1.5 招聘详情界面

5.2 管理员功能模块的实现

5.2.1 管理员登录界面

5.2.2 下载文档管理界面

5.2.3 岗位管理界面

5.2.4 会员管理界面

5.2.5 企业管理界面

5.2.6 企业分类管理界面

5.3 企业功能模块的实现

5.3.1 发布招聘信息界面

5.3.2 招聘管理界面

第6章 系统测试

6.1 功能测试

6.2 可用性测试

6.3 测试步骤

6.4 测试结果分析

结论

致谢

参考文献

附录

2、研究思路

本课题始终秉持以用户需求为核心导向,深度运用软件工程成熟的思想与方法,严谨且系统地开展系统设计与开发工作,具体流程如下:

需求调研与分析阶段:

为精准把握用户需求,我们采用了多元化的调研手段。一方面,设计并发布详细的线上调查问卷,覆盖不同年级、专业的高校学生以及各类企业招聘负责人,广泛收集他们对于就业平台功能、界面设计、操作便捷性等方面的期望与建议。另一方面,组织多场面对面的深度访谈,与学生代表、企业HR进行深入交流,挖掘潜在需求和特殊使用场景。

通过对调研数据的系统整理与分析,运用专业的需求分析工具,如用例图、需求规格说明书等,明确系统的功能需求,涵盖用户注册登录、简历投递、招聘信息发布、岗位搜索筛选等核心功能,同时确定系统在响应时间、并发处理能力等方面的性能要求。

系统设计阶段:

(1)总体架构设计

采用分层架构设计思想,将系统划分为表现层、业务逻辑层和数据访问层。表现层负责与用户进行交互,采用简洁直观的界面设计,确保用户能够轻松操作;业务逻辑层处理各种业务规则和流程,实现核心功能的逻辑控制;数据访问层负责与数据库进行交互,实现数据的存储和读取。通过这种分层架构,提高系统的可维护性、可扩展性和复用性。

(2)功能模块设计

根据需求分析结果,将系统划分为多个功能模块,包括用户管理模块、简历管理模块、招聘信息管理模块、岗位搜索模块等。每个模块具有明确的功能边界和输入输出,通过模块间的协作实现系统的整体功能。

(3)数据库设计

遵循数据库设计的规范化原则,进行概念设计、逻辑设计和物理设计。在概念设计阶段,通过实体 - 关系图(E - R图)描述系统中的实体及其之间的关系,如用户、简历、招聘信息、企业等实体之间的关联。

(4)系统实现阶段

采用JSP技术、SSM框架(Spring + SpringMVC + MyBatis)和MYSQL数据库进行系统开发。JSP技术用于实现动态网页的生成和展示,SSM框架提供了一种轻量级的解决方案,Spring负责管理系统的bean和事务,SpringMVC处理Web请求和响应,MyBatis实现与数据库的交互。

在开发过程中,严格按照软件工程的编码规范进行代码编写,确保代码的可读性和可维护性。同时,采用模块化的开发方式,将不同的功能模块分配给不同的开发人员,提高开发效率。

(5)系统测试和优化阶段

为确保系统的质量和稳定性,进行全面的系统测试,包括功能测试、性能测试、安全测试等。功能测试主要验证系统的各项功能是否符合需求规格说明书的要求,采用黑盒测试方法,设计大量的测试用例,覆盖各种正常和异常情况。

毕业论文(设计)工作流程图

3、研究方法

本课题拟采用以下研究方法:

文献研究法:通过知网、维普、web of science 等途径查阅高校大学生就业平台、JSP 技术、SSM 框架、MYSQL 数据库等相关文献,收集、整理和分析国内外关于就业平台设计与开发的研究成果、存在的问题及发展趋势,并总结明确本课题研究目的、意义及创新点。此方法主要运用在绪论部分,为课题研究提供理论支持和研究背景。

需求调研法:采用问卷调查、访谈等方式对高校大学生、企业和就业管理部门进行需求调研,了解他们对就业平台的功能需求、使用习惯和期望,为系统需求分析提供依据。此方法主要运用在系统需求分析部分。

案例分析法:分析国内外现有的高校大学生就业平台的成功案例和不足之处,借鉴其优点,避免其缺点,为本平台的设计和开发提供参考。此方法贯穿于整个系统设计和实现过程。

实验法:在系统开发过程中,通过搭建实验环境,对系统的功能模块进行单元测试和集成测试,验证系统的功能正确性和性能稳定性。此方法主要运用在系统测试部分。

数据分析法:利用大数据分析技术对用户在平台上的行为数据进行分析,了解用户的求职偏好和需求,为用户提供个性化的就业信息推荐和就业指导服务。此方法主要运用在系统的个性化服务模块。

4、研究流程

研究围绕高校大学生就业平台展开,前期先通过学校图书馆及学术数据库收集近五年国内外相关论文报告,明确平台在功能、体验和数据安全方面有提升空间。接着对比智联招聘、BOSS直聘、LinkedIn等平台,分析其优缺点,为设计提供参考。确定综合文献研究、问卷调查、访谈和案例分析的研究方法,前端采用JSP,后端运用SSM框架,数据库选用MYSQL。同时制定详细研究计划,分阶段明确时间与任务。

系统设计阶段,开展需求调研,向高校生、企业及学校就业指导中心收集信息,用亲和图法分类需求并确定详细内容。设计三层总体架构,划分用户管理、简历管理等功能模块,明确输入输出,还完成数据库设计。

系统实现时,依据详细设计进行开发,按模块实现功能,遵循编码规范并做单元测试。之后集成各模块,用黑盒测试验证整体功能。

系统测试环节,制定功能、性能、安全测试方案,全面测试后发现功能、性能和安全方面存在问题,分析原因后进行优化,如修复功能问题、优化数据库查询、加固安全等,经重复测试达标。

最后进行论文撰写,按大纲介绍背景意义、阐述方法、描述系统等。反复修改论文,请导师同学审阅,按意见调整并检查格式规范。同时准备答辩PPT和研究报告,确保PPT简洁突出重点,熟悉内容并预测问题做好回答准备。

5、课题预期取得的成果

1.界面整洁美观,基本功能都能实现。

2.达到学院毕设基本要求,论文合格,通过答辩。

三、毕业论文(设计)工作进度安排

2025.09.11-2025.09.12 完成选题,接受任务书。

2025.09.13-2025.09.30 完成开题报告,提交教师审核。

2025.09.30-2025.12.05 完成设计作品初稿,提交指导教师,与教师沟通作品进度和功能完善情况。

2025.12.06-2025.12.20 完成论文初稿,提交指导教师审核。

2026.01.27-2026.02.10 完成论文第二稿提交教师评阅。

2026.03.10-2026.03.15 完成定稿并提交系统。

2026.03.16-2026.03.20 完成论文查重,符合标准,提交论文定稿,指导教师评阅。

2026.03.30-2026.05.20 答辩准备。

2026.05.20-2026.06.05 提交毕业设计所有资料。

指 导

教 师

意 见

该生开题报告符合要求,系统设计功能完整,同意开题。

指导教师签名:

2026年05月14日

学 院

毕 业

论 文

工 作

小 组

审 核

意 见

同意开题

负责人签名:

2026年05月16日

备注:题目类别分为:毕业论文、毕业设计。

  全套毕业设计论文现成成品资料请咨询微信号:biyezuopinvvp QQ:1015083682     返回首页 如转载请注明来源于www.biyezuopin.vip  

                 

打印本页 | 关闭窗口
本类最新文章
基于STM32的分布式电缆温度监 基于STM32的分布式电缆温度监 基于STM32的分布式电缆温度监
车载无线充电器设计与实现 开题报 基于MATLAB的正激变换器的开 基于MATLAB的正激变换器的开
| 关于我们 | 友情链接 | 毕业设计招聘 |

Email:biyeshejiba@163.com 微信号:biyezuopinvvp QQ:1015083682  
本站毕业设计毕业论文资料均属原创者所有,仅供学习交流之用,请勿转载并做其他非法用途.如有侵犯您的版权有损您的利益,请联系我们会立即改正或删除有关内容!